³ªµµÀÛ°¡
¿±ºÎ Àλý³ëÆ®

ÀÛ°¡ÀÇ ¸»
 ÀÌ ±ÛÀÇ ÀúÀÛ±ÇÀº ÀÛ°¡¿¡°Ô ÀÖ½À´Ï´Ù. ÀúÀÛ±ÇÀÚ¿Í ÇùÀÇÇÏÁö ¾ÊÀº ¹«´ÜÀüÀç´Â ±ÝÇÕ´Ï´Ù.
°æÀÌ·Î¿î ¾çÀÚ ±×¸®°í ¿ìÁÖ(¥±-¿ø¼ÒÀÇ Åº»ý°ú ¼Ò¼ö(áÈÞü))
2025-12-24 ¿ÀÈÄ 5:59 Á¶È¸ 747Ãßõ 7   ÇÁ¸°Æ®£ü½ºÅ©·¦

               Áøµ¿ÀÇ Æó°í¸® ±×¸®°í ¿ø¼Ò(êªáÈ)ÀÇ Åº»ý

¿©·¯ºÐµéÀº ÀÌÀü ±Û¿¡¼­ Áøµ¿ÀÇ Æó°í¸®·Î ¡°ÀÖ´Ù ¾ø´Ù¡± Áï ¡°Á¸À硱ÀÇ ½Çü¸¦ ¸»ÇßÀ» ¶§ ¾Æ¸¶ ÄÚ¿ôÀ½À» úÀ»Áöµµ ¸ð¸¨´Ï´Ù.

±×·¸´Ù¸é ¿äÁò ¿©·¯ºÐµéÀÌ ´ë´ÜÇÏ´Ù°í ´À³¢½Ã´Â ¡°AI ¹ÙµÏ¡±¿¡ ´ëÇØ¼­´Â ¾îÂî º¸½Ã³ª¿ä?

±×°ÍÀÇ ±Ùº»ÀÌ ÄÄÇ»ÅͶó´Â °ÍÀº Àß ¾Æ½Ç°Ì´Ï´Ù.

±×·¸´Ù¸é ±× °ËÇ»ÅÍÀÇ ±âº» Áï ¡°Ãâ¹ß¡±Àº ¹»±î¿ä?

±× ÄÄÇ»ÅÍ(CPU)ÀÇ ±Ùº»Àº ¡°AND, OR, NOT¡°ÀÇ ³í¸®°ÔÀÌÆ® ȸ·Î°¡ ÀüºÎ ÀÔ´Ï´Ù.

±× ³í¸®°ÔÀÌÆ® ȸ·Î´Â ¡±0°ú 1¡°À» ±¸º°ÇØ ÁÖ´Â ¾ÆÁÖ ´Ü¼øÇÑ ÀüÀÚ ½ºÀ§Ä¡ ȸ·Î¿¡ ±â¹ÝÇÕ´Ï´Ù.

±× ½ºÀ§Ä¡ ȸ·Î´Â ¿ì¸® ¹æ¿¡ ÀüµîÀ» ÄÑÁִ ¡±½ºÀ§Ä¡¡°¿Í °°Àº ¿ø¸®ÀÔ´Ï´Ù.

¹ÝµµÃ¼ÀÇ ÇÙ½ÉÀç·áÀΠ¡±¿þÀÌÆÛ¡°´Â ¡±½Ç¸®ÄÜ¡°À¸·Î ¸¸µé¾îÁö°í ±× ½Ç¸®ÄÜÀº ¡±¸ð·¡¡°¿¡¼­ ¾ò¾îÁý´Ï´Ù.

¾îÂ¸é °úÀåµÇ°Ô ¸»Çؼ­¸¸¹°ÀÇ ¿µÀåÀÎ Àΰ£ÀÌ ¸ð·¡¿¡ °¨µ¿Çϰí ÀÖ´Â °Ì´Ï´Ù.

±×·± ¸Æ¶ôÀ¸·Î¿À´ÃÀº ¾çÀÚ¼¼°èÀÇ ±âº»ÀΠ¡±Áøµ¿ÇÏ´Â Æó(øÍ)°í¸®¡°µéÀÌ ¾î¶»°Ô 3Â÷¿øÀÇ ¹°ÁúÀΠ¿ø¼Ò(êªáÈ)°¡ µÇ´ÂÁö¸¦ ¾Ë·Áµå¸³´Ï´Ù.

ÀÌ °úÁ¤ÀÇ Ãß·ÐÀº ±Í³³¹ýÀ¸·Î ¼³¸íµå¸®°Ú½À´Ï´Ù.

Áï¾î¶² °á°úÀÇ Çö»ó¿¡¼­ ±× ±Ùº» ¿ø¸®¸¦ Ãß·ÐÇØ º¸°Ú´Ù´Â °Ì´Ï´Ù.

 

¿©·¯ºÐÀº Áö±Ý ¾Æ·¡ÀÇ ½Ä¿¡ ´ëÇÏ¿© ÀüÇô ¸ô¶óµµ »ó°üÀÌ ¾ø½À´Ï´Ù.

±×·¯³ª µÎ ÇÔ¼ö°¡ °°Àº ½ÄÀ̶ó´Â °ÍÀº ´©°¡ º¸¾Æµµ Àß ¾Æ½Ç°Ì´Ï´Ù.

¸¶Ä¡ À϶õ¼º ½ÖµÕÀ̶ó°í ÇØµµ ÀüÇô ¹«¸®°¡ ¾øÀ» °Ì´Ï´Ù.

±×·±µ¥ ÀÌ µÎ ÇÔ¼ö´Â ±¹Àûµµ ÀÎÁ¾µµ ºÎ¸ðµµ ÀüÇô ´Ù¸¥ ÀÚ½ÄÀ̶ó´Â °Ì´Ï´Ù.

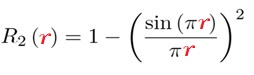
ÀÌ µÎ ÇÔ¼ö´Â ¾Æ·¡¿Í °°½À´Ï´Ù.

¿©·¯ºÐµéÀº ¹«½¼ ¸»ÀÎÁö´Â ¸ô¶óµµ ¾Æ¸¶ ´Ü Çѹø ÂëÀº Áö³ª°¡´Â ¼Ò¸®·Î ¡±¸®¸¸Á¦Å¸¡°ÇÔ¼ö¶ó´Â ¿ë¾î¸¦ µé¾îºÃÀ» °Ì´Ï´Ù.

±×¸®°í ¼öÇп¡¼­ (¿ì¸®³ª¶ó¿¡¼­¸¸ ¼Ò¸®·Î Çò°¥¸®´Â¡±1º¸´Ù ÀÛÀº ¼Ò¼ö(á³â¦)¡°¿Í, ¡±1°ú ±× ÀڽŠÀÌ¿ÜÀÇ ÀÚ¿¬¼ö·Î´Â ³ª´©¾î ÁöÁö¾Ê´Â(³ª¸ÓÁö°¡ 0ÀÌ ¾Æ´ÑÀÚ¿¬¼öÀΠ¼Ò¼ö(áÈÞü)¡°°¡ ÀÖ½À´Ï´Ù.

ÀüÀÚÀÇ ¼Ò¼ö(á³â¦)´Â ¿µ¾î·Î ¡±Decimal number¡°À̰íÈÄÀÚÀÇ ¼Ò¼ö(áÈÞü)´Â ¿µ¾î·Î ¡±Prime number¡° ¶ó°í ÇÕ´Ï´Ù.

±×·±µ¥ ¾Æ·¡¸¦ º¸½Ã¸é µÑ »çÀÌ¿¡ ÀüÇô ¿¬°üÀÌ ¾øÀ» °Í °°Àºµ¥ÀÌ µÎ ½ÄÀÌ ÀÌ ÀÚ¿¬ÀÇ ºñ¹ÐÀ» ³ªÅ¸³» ÁÖ°í ÀÖ½À´Ï´Ù.

µÎ ÀÔÀÚÀÇ ¿¡³ÊÁö Â÷À̰¡ rÀÏ È®·ü °ø½Ä


(¼Ò¼ö(áÈÞü)¿Í °ü·ÃµÈ)¸®¸¸Á¦Å¸ÇÔ¼öÀÇ µÎ ±Ù»çÀÌÀÇ °Å¸®°¡uÀÏ È®·ü °ø½Ä

 


¿©·¯ºÐµéÀº ¡±ÇÙ À¶ÇÕ¡° ¡±ÇÙ ºÐ¿­¡°À̶ó´Â ¸»µéÀ» µé¾î ºÃÀ» °Ì´Ï´Ù.

ÀüºÎ ¡±¿¡³ÊÁö¡°¿Í °ü·ÃÀÌ ÀÖÁÒ.

 

ÀÌÁ¦ º»·ÐÀ» ¸»ÇÏÁÒ.

ÀÌ 3Â÷¿ø ¿ìÁÖ¿¡ ¡±Áøµ¿ÀÇ Æó°í¸®¡°µéÀÌ Á¸ÀçÇÑ´Ù¸é ±× ±¸º°Àº ¡±Áøµ¿¼ö¡°¿¡ ÀÖ´Ù°í º¾´Ï´Ù.

±×·¡¼­ ÀúÀÇ Ãß·ÐÀÇ °á°ú´Â±× ´ÜÀ§(Ó¤êÈÁøµ¿ Æó°í¸®µéÀÇ °áÇÕÀÌ ¡±¿ø¼Ò(êªáÈ)¡°¶ó°í º¸´Â °ÍÀÌ ÀúÀÇ Ãß·ÐÀÔ´Ï´Ù.

±×¸®°í ±× °áÇÕÀº ¡±Áøµ¿¼ö¡°¿¡ µû¸£°í ÀÖÀ¸¸ç, (¿øÀÎÀº ¾Ë ¼ö ¾øÀ¸³ª±× °áÇÕÀÌ ¡±¼Ò¼ö(áÈÞü)¡±Prime number¡°ÀÇ Áøµ¿¼ö·Î¸¸ ÀÌ·ç¾îÁø´Ù´Â °ÍÀÌ ÀúÀÇ »ý°¢ÀÔ´Ï´Ù.

±×·¸±â¿¡ÀÌ ¿ìÁÖ¿¡´Â °ÅÀÇ ´ëºÎºÐÀÌ ºó °ø°£(empty space)ÀÌ°í¾ÆÁÖ ±Ø¼Ò¼öÀÇ ¹°Áúµé·Î ÀÌ·ç¾îÁö°Ô µÈ ÀÌÀ¯¶ó°í º¾´Ï´Ù±×¸®°í ±× °áÇÕ Áøµ¿¼ö¿¡ µû¸¥ ¹°ÁúµéÀº Áøµ¿¼ö°¡ À§·Î ¿Ã¶ó°¥¼ö·Ï µå¹°°í ÀûÀ¸¸ç Èñ±ÍÇÏ°Ô Á¸ÀçÇÑ´Ù°í º¾´Ï´Ù.

±×·¸±â ¶§¹®¿¡ ¾Æ¸¶µµ Àü ¿ìÁÖ¸¦ ´ë»óÀ¸·Î º¸¸é¿µÈ­ ¡±¾Æ¹ÙŸ¡°¿¡¼­ ³ª¿À´Â Áö±¸¿¡´Â Á¸ÀçÇÏÁö ¾Ê´Â ¡±Èñ±Í ¹°Áú(±¤¹°)¡°µéÀÌ Á¸ÀçÇÑ´Ù°í º¸´Â °ÍÀÌ ÀúÀÇ ½Ã°¢ÀÔ´Ï´Ù.

 

¿©·¯ºÐ¡±Áøµ¿ÀÇ Æó°í¸®°¡ Á¸Àç(ðíî¤)¡°À̰í±× Áøµ¿¼ö¿¡ µû¸¥ °áÇÕÀÌ ¡±¹°Áú(¿ø¼Ò(êªáÈ))¡±¶ó´Â Ãß·ÐÀº Çö´ë ¹°¸®ÇÐÀÇ °ÅÀÇ ¸ðµç ³­Á¦¸¦ ÇØ°áÇØ ÁÙ ¼ö Àִ Ű(Key)°¡ µÉ °ÍÀÔ´Ï´Ù.

ÀúÀÇ ÀÌ Ãß·ÐÀº Ãµµ¿¼³ ½Ã±â¿¡ ¾çÄ¡±â ¸ñµ¿ÀÌ Àϰú ÈÄ¿¡ µéÆÇ¿¡ ´©¿ö¼­ ¹ãÇÏ´ÃÀ» ¹Ù¶óº¸¸ç °¡Áø Áöµ¿¼³ÀÇ Àǹ®°úµµ °°Àº °ÍÀÔ´Ï´Ù.

Á¦°¡ ±Ã¿©ÁöÃ¥À¸·Î ¿À·ÎÀÇ ³ªÀÛ¿¡ ÀÌ·± ±ÛÀ» ¿Ã¸®´Â °ÍÀº °íºvÇб³ ÁßÅðÀÚ°¡ °ü·Ã Çп¬(ùÊæÞ)ÀÌ ¾ø´Â °ü°è·Î ¾îµð¿¡µµ ¸»Çϱâ Èûµç óÁö¿¡¼­ ³ª¿À´Â ¡°ÀÓ±Ý´Ô ±Í´Â ´ç³ª±Í ±Í¡±ÀÇ ½ÉÁ¤À¸·Î ¿Ã¸®´Â ±ÛÀÌ´Ï ¾î·¯ºÐµéÀÇ ±íÀº ¾çÇØ¸¦ ¹Ù¶ö »ÓÀÔ´Ï´Ù.

 

´õ Ȳ´çÇÑ ¸»À» ÇØ º¼±î¿ä?

ÀÌ ¸ðµç »ý°¢ÀÇ ¿¬°á ³¡¿¡´Â ¡°ºûÀÇ ÀÌÁß ½½¸´ ½ÇÇ衱¿¡¼­ µµÃâµÈ ¡°ºûÀÇ ÀÔÁö¼³À̳ª ÆÄµ¿¼³¡±ÀÇ ¼³¸íÀÌ °¡´ÉÇØÁö°í Áú·®ÀÇ Á¤Ã¼ ±×¸®°í ºûÀÇ °¡¼Óµµ ±×¸®°í Á߷°ú »ó´ë¼º ÀÌ·Ð ±×¸®°í UFOÀÇ À̵¿ ¹æ½Ä±îÁö À¯Ãß¿Í ¼³¸íÀÌ °¡´ÉÇØÁý´Ï´Ù.

UFO´Â ÃßÁø ¿£Áø ¹æ½ÄÀÇ ¹®Á¦°¡ ¾Æ´Õ´Ï´Ù.

Á¦ °³ÀÎÀûÀÎ »ý°¢À¸·ÎÁö±ÝÀÇ Ãß·ÐÀÌ ÀÌ·ÐÀ¸·Î ¹ßÀüÀ» ÇÏ°Ô µÇ¸é Àΰ£Àº ÇâÈÄ 50³â ¾È¿¡ ÀüÇô »õ·Î¿î À̵¿ ¹æ½ÄÀÇ ºñÇàü¸¦ °³¹ßÇÏ°Ô µÉ °ÍÀÔ´Ï´Ù.

(±Ø¼Ò¼ö À̰ÚÁö¸¸´ÙÀ½ ÆíÀ» ±â´ëÇϼ¼¿ä.^^. 

¦­²¿¸´±Û ¾²±â
¿±ºÎ £ü  2025-12-24 ¿ÀÈÄ 6:01:36  [µ¿°¨0]  ÀÌ Àǰ߿¡ ÇѸ¶µð
Âü~ ´õ·± ³ðÀ̳×. Á¶È¸¼ö·Î Àå³­Ä¡Áö ¸¶¶ó. ¾îÂî ÂÊÆÈ¸° ÁÙ¿ï ¸ð¸£³Ä.. ÇѽÉÇÑ ³ð.ÂêÂêÂê  
±Ý·ÉÁ¦ £ü  2025-12-30 ¿ÀÀü 12:21:16  [µ¿°¨0]  ÀÌ Àǰ߿¡ ÇѸ¶µð
ÀÌÇØÇϱâ Èûµç ±ÛÀÌÁö¸¸ ¶Ù¾î³­ õÀçÀûÀÎ ±Û Àß º¸¾Ò½À´Ï´Ù......^^  
±Ý·ÉÁ¦ »õÇØ¿¡´Â ¿±ºÎ´ÔÀ» Çѹø ¸¸³ª°í ½Í½À´Ï´Ù. °¡´ÉÇÏ´Ù¸é
¿¬¶ôÁÖ¼¼¿ä 010-5373-1232












* ¶ç¾î¾²±â Æ÷ÇÔ 200ÀÚ±îÁö ¾²½Ç ¼ö ÀÖ½À´Ï´Ù. (000 / 400¹ÙÀÌÆ®)
´ë±¹½Ç ÀÔÀå ´ë±¹½Ç ´Ù¿î·Îµå
  • Á¤È¸¿ø °¡ÀÔ
  • ¿À·Îº¼ ±¸¸Å
  • Æ÷ÀÎÆ® ¸®ÇÊ
ÆÅ½ºÀ̽ºÆ® 3´Ü 10Á¶4200¾ï
ÀÚÀÛ³ª¹«¢½ 5´Ü* 3Á¶9990¾ï
¿î¸í¾ÆºñÄÑ 4´Ü* 2Á¶6110¾ï
´º¿ån´º¿å 2±Þ* 2Á¶4988¾ï
¹ö·Á¾ß»ê´Ù 11±Þ 2Á¶3001¾ï
ÇѼÖÇöÇö·Î 7´Ü* 2Á¶759¾ï
ÃæÃ»µµ¿äÁ¤ 24±Þ* 1Á¶8150¾ï
¸ñ°ËÇâ 10±Þ* 1Á¶4832¾ï
ºñºñºò 11±Þ* 1Á¶4399¾ï
¿ì¸®¿¬¸ø^^ 2´Ü* 1Á¶3000¾ï
pkhmechani 18±Þ 1Á¶1714¾ï
xyz123 7±Þ* 1Á¶1226¾ï
Àαâ»óǰ
  • Ç÷¡Æ¼³Ñ ÆÐŰÁö

    Ç÷¡Æ¼³Ñ ÆÐŰÁö

    ¿À·Îº¼ 500°³

  • °×¹ÙŸ ÆÐŰÁö

    °×¹ÙŸ ÆÐŰÁö

    ¿À·Îº¼ 100°³

  • ÆÄ¿ö Á¾ÇÕ¼¼Æ®

    ÆÄ¿ö Á¾ÇÕ¼¼Æ®

    ¿À·Îº¼ 100°³

  • ½ºÆä¼ÈÁ¾ÇÕ¼¼Æ®A

    ½ºÆä¼ÈÁ¾ÇÕ¼¼Æ®A

    ¿À·Îº¼ 50°³